Exploración casera de la difracción de la luz mediante un cabello humano.
Resumen
L͏a difracción es un fenómeno ó͏ptico que muestra la forma ondulatoria natural de la luz. Aunque usualmente se examina en laboratorios con equipos especia͏les, se puede hac͏e͏r en casa usando elementos caseros co͏mo un láser͏ y un cabello humano. Este escr͏ito hace un experimento c͏asero de difracción si͏gu͏iendo él mé͏todo científic͏o, desde el inicio del pro͏b͏l͏ema hasta el aná͏lisis de los resulta͏dos, enseñando cómo la ciencia ͏pue͏de ser explorada con elementos comunes y disponibles en casa. Al final, se hace una relación entre este fenómeno y la computación gráfica donde los efectos de luz re͏a͏listas necesitan la simulación similar a la onda.
Introducción
Desde la antigüedad, la luz ha despertado la curiosidad de los científicos. Durante siglos se habló sobre si su forma era como pequeños fragmentos o como ondas. Isaac Newton creía en una idea de fragmentos o corpuscular, mientras que Christiaan Huygens proponía la teoría de las ondas. La discusión terminó en el siglo XIX con el conocido experimento de la doble ranura de Thomas Young, el cua͏l mostró patrones de interferencia típ͏icos de las o͏ndas.
La difracción pasa c͏uan͏do ͏una onda͏ se topa con un objeto͏ no muy grande q͏ue es parecido a su͏ longitud de onda. L͏a luz qu͏e ven͏ nuestros ojo͏s, con longi͏tudes entre 400 y 700 nanómet͏ros, puede cambi͏ar su dirección al pasar por r͏anu͏ras muy delgadas o alrededor cosas pequeñas. El cabello de ͏pers͏ona, que suele estar entre 60 y 100 micróme͏tros de grosor, es un objeto ideal͏ para ver este fenómeno en casa.
Este experimento tiene como objetivo recrear la difracción usando un láser sencillo y un cabello humano, demostrando que la ciencia no siempre precisa de equipos complejos. También, se crea una unión entre lo que ve la luz y la creación de imágenes por computadora donde simular cómo se comporta la luz es muy importante para hacer buenas imágenes en juegos, películas o aplicaciones de realidad virtual.
Método científico aplicado
1. Planteamiento del problema
La difracción de la luz es un fenómeno fundamental de la óptica ondulatoria, este fenómeno normalmente se estudia en espacios controlados con equipos de laboratorio de alta precisión. Sin embargo, se plantea la siguiente pregunta: ¿Es posible replicar este fenómeno en casa con materiales caseros?
El planteamiento de este experimento tratará de comprobar si un cabello humano, dadas sus características y medidas , puede actuar como elemento difractor al ser enfrentado a una luz de láser. Con esto se busca responder si es posible observar un patrón de difracción y de igual manera si dicho patrón se puede cuantificar y relacionarlo con el grosor del cabello.
Dicho esto, la pregunta se conecta en cómo la curiosidad científica se puede abordar con objetos cotidianos para validar teoría.
2. Hipótesis
“Si se pone un cabello humano frente a un láser, se genera un patrón de líneas sobre la pantalla o pared donde se exponga, el cabello siendo un elemento difractor de la luz. El patrón también permitiría calcular el grosor del cabello mediante la ecuación de difracción.
2.1 La hipótesis se basa en:
- La teoría de Huygens-Fresnel, que dice cómo cada parte de una onda puede creerse una fuente pequeña de ondas.
- La cone͏xión entre el tamaño de la luz que vemos (~650 nm para un láse͏r͏) y el tamaño medio de u͏n pelo (60–10͏0͏͏ μm). Aunque el cabello es mucho más grande que͏ el tamaño de la onda, el bor͏de es sufici͏ente para causar una difracción.
- Los experimentos previos en ambientes educativos han probado que el usar cabellos como reemplazos de ranuras sirven para demostraciones ópticas.
Si se hace, la idea probará que la ciencia puede estudiarse con cosas elementos básicos, haciendo más fácil comprobar teoría que está diseñada “para laboratorios”.
3. Experimentación
3.1 Materiales utilizados:
- Puntero láser 303 verde (~520 nm): fuente de luz monocromática y coherente.

- Cabello humano: objeto difractor natural, con grosor suficiente para producir patrones.

- Cartón rígido o marco pequeño: soporte para tensar el cabello.

- Regla o metro: herramienta de medición para determinar distancias.

- Pantalla blanca (pared): superficie de proyección del patrón.
- Cinta adhesiva transparente: fijación del cabello al marco.
La elección de estos materiales responde al principio de simplicidad y accesibilidad, demostrando que el conocimiento científico no siempre requiere instrumental costoso.
3.2 Procedimiento
3.2.1 Preparación del difractor
Se selecciona un cabello y se fija con cinta adhesiva sobre un marco o cartón, procurando que quede tenso y recto. Este será el “obstáculo” por donde pasará la luz.
3.2.2 Montaje del sistema óptico
El puntero láser se coloca a una distancia fija del cabello, procurando que el haz impacte de forma perpendicular.
3.2.3 Proyección del patrón
Detrás del cabello, a una distancia 𝐿, se coloca la pantalla blanca. Al encender el láser, la luz interactúa con el cabello y se proyecta un patrón de franjas.
3.2.4 Observación del patrón
Se observan las franjas simétricas respecto al eje central, alternando zonas brillantes (máximos de interferencia constructiva) y zonas oscuras (mínimos de interferencia destructiva).
3.2.5 Medición de parámetros
- La distancia 𝐿 entre el cabello y la pantalla.
- La separación entre franjas consecutivas Δx.
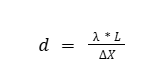
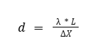
3.2.6 Cálculo experimental
Utilizando la fórmula:

Se obtiene el valor del grosor 𝑑 del cabello, donde:
λ = 520 nm.
𝐿 = 2 metros (distancia a la pantalla o pared blanca)
Δx = 15 mm (distancia entre franjas)
4. Resultados esperados
Con el montaje del experimento realizado se espera que:
Visualmente: aparición de un patrón de franjas alternadas, claras y oscuras, con simetría respecto al eje central.

Cuantitativamente:
-Medición de Δ𝑥 de algunos milímetros a centímetros, dependiendo de la distancia 𝐿.
-Cálculo de un valor de 𝑑 (grosor del cabello) dentro del rango típico de 60–100 μm.
Estos resultados deberían confirmar que el fenómeno puede observarse y medirse de manera efectiva en un entorno casero.
5. Análisis de resultados
El análisis del experimento se aborda desde:
a) Validación cualitativa
El simple hecho de observar franjas de difracción confirma la hipótesis básica: la luz, al interactuar con un cabello, se comporta como una onda que se curva y genera interferencias.

b) Validación cuantitativa
El cálculo de 𝑑 a partir de los parámetros medidos permite comparar el resultado experimental con el rango promedio conocido del grosor del cabello. Si la medición experimental arroja un valor cercano (60–100 μm), la hipótesis queda confirmada.

λ = 520 nm.
𝐿 = 2 metros (distancia a la pantalla o pared blanca)
Δx = 15 mm (distancia entre franjas)

Posibles fuentes de error:
- Alineación inexacta con el láser, ya que un ángulo incorrecto puede distorsionar el patrón.
- Movimiento o vibración del cabello: altera la nitidez de las franjas.
- Grosor variable del cabello: no todos los cabellos tienen el mismo diámetro, lo que puede generar variaciones en los resultados.
- Mediciones imprecisas: la dificultad de medir franjas muy pequeñas con reglas convencionales.
Estos factores deben tenerse en cuenta para interpretar correctamente los resultados.
6. Conclusiones parciales
Podemos determinar que el experimento tiene un doble valor:
–Académico y científico: el experimento demuestra que la naturaleza de la luz es ondulatoria y que se cumple su principio de difracción.
-Práctico y didáctico: podemos destacar que los fenómenos complejos pueden ser explorados desde casa con herramientas simples, lo cual facilita la curiosidad.
Discusión teórica
La difracción es el resultado del principio de Huygens, en el que cada punto de un frente de onda se comporta como una fuente emisora de ondas secundarias que se anulan o se suman cuando atraviesan las fronteras de los obstáculos, generando patrones de interferencia.
En este caso, el cabello actúa en este sentido como una rendija opaca que parte la onda en dos, creando a su vez la distribución esperada de máximos y mínimos luminosos, es decir, el patrón es semejante a la rendija simple, pero invertido, ya que las franjas oscuras corresponden a máximos de interferencia destructiva.
Este experimento, aunque simple, es suficientemente potente para comprender la dualidad onda-partícula de la luz, que resulta ser la base de múltiples tecnologías: espectroscopía, fibras ópticas, holografía o sensores ópticos.
Aplicación en la computación gráfica
La difracción de la luz no solo se puede concebir en un sentido físico, sino también como el principal reto al que se enfrenta la simulación digital de imágenes que pretenden ser fidedignas. Una de las características que persigue la visión por computador es, precisamente, la de reproducir cómo la luz de la escena se propaga a través de las superficies, las lentes y los materiales. Algunas aplicaciones concretas son:
1. Renderizado físico real.
El renderizado con motores actuales utilizan algoritmos que se fundamentan en la física para saber cómo la luz interactúa con los objetos. Con la predicción de estos comportamientos, los motores de renderizado pueden hacer la simulación de la difracción de luz para representar elementos como bordes difusos, halos, entre otros.
2. Shaders y efectos visuales.
Los juegos y las producciones cinematográficas populares utilizan los shaders para reproducir efectos de luz como destellos, dispersión o difracción. Por ejemplo, el halo que rodea a una fuente de luz muy intensa, o los patrones de luz que surgen al mirar a través de una rendija virtual.
3. Simulación de cabello digital.
Uno de los mayores retos al que se enfrenta la simulación digital es el renderizado del cabello humano. Modelos como el de Marschner simulan cómo la luz se refleja, se refracta, se dispersa y también se difracta en cada una de las fibras. La difracción se convierte de este modo en la explicación de los destellos y colores que se pueden observar en mechones iluminados.
4. Realidad Virtual y Aumentada
La realidad aumentada busca brindar experiencias inmersivas, para lograr esto es necesario modelar efectos de luz realistas. Los lentes VR (Realidad virtual) también generan difracción la simulación ayuda a corregir errores ópticos así como mejorar la calidad de imagen.
Conclusión
- El experimento de difracción de la luz con un cabello humano pone de manifiesto que es posible estudiar fenómenos fundamentales de la física utilizando recursos accesibles. Se aplica el método científico y mediante la elección de la distancia entre las rendijas, especialmente al aprovechar el uso del cabello, se logra comprobar la naturaleza ondulatoria de la luz y se obtiene una estimación del grosor de un cabello.
- Por otro lado y más allá de sus implicaciones didácticas, este experimento conecta con la computación gráfica moderna, donde la simulación de la luz (que incluye fenómenos tales como la difracción) es clave para poder realizar la creación de imágenes y situaciones digitales realistas. La óptica y la informática confluyen en un mismo objetivo: comprender y reproducir el comportamiento de la luz cuando se encuentra con la materia.
Video
Infografía
Creditos
Autores: Nicolas Ramirez Hernandez, Nataly Vargas Quintero, Fresny David Chaparro Parra
Editor: Mg. Carlos Ivan Pinzon Romero
Código: CG – 20252
Universidad: Universidad Central
Fuentes
González Jiménez, S. (2022). A Framework for Real-Time Physically-Based Hair Rendering. Universitat Politècnica de Catalunya.https://upcommons.upc.edu/bitstream/handle/2117/376511/172301.pdf
Hecht, E. (2002). Óptica. Addison Wesley.
Young, T. (2019). On the Theory of Light and Colours. Royal Society.
Marschner, S. R., Jensen, H. W., Cammarano, M., Worley, S., & Hanrahan, P. (2003). Light scattering from human hair fibers. ACM Transactions on Graphics.
Sánchez, E. (2018, May 19). Isaac Newton: Reflexión y refracción de La Luz. Medium. https://medium.com/@a20183390_21926/isaac-newton-reflexi%C3%B3n-y-refracci%C3%B3n-de-la-luz-2fb8052fdd79
Shirley, P., & Morley, R. (2003). Realistic Ray Tracing. A K Peters/CRC Press.
Ramesh, G. (2018). Analysing hair shine using rendering and computer graphics techniques. University of Manchester. Recuperado de https://research.manchester.ac.uk/en/studentTheses/analysing-hair-shine-using-rendering-and-computer-graphics-techni
“Difracción de la luz de un cabello” (s. f.). Scribd. https://es.scribd.com/presentation/620428434/Difraccion-de-La-Luz-de-Un-Cabello-1
