Cómo hacer un experimento de dispersión de la luz con un CD o DVD paso a paso
La dispersión del espectro, o simplemente dispersión, es el fenómeno físico donde la luz (especialmente la luz blanca) se separa en sus colores constituyentes debido a que el medio por el que pasa la luz, como un prisma o una gota de agua, refracta las diferentes longitudes de onda (colores) en ángulos ligeramente distintos.

RGB
RGB es un acrónimo que proviene del inglés y hace referencia a tres colores primarios de luz: Red (rojo), Green (verde) y Blue (azul). Estos colores son la base para generar una amplia gama de tonalidades mediante la mezcla aditiva.

R: Rojo
El color rojo representa uno de los tonos primarios más intensos y emocionales. En la iluminación LED, el rojo se utiliza para crear ambientes cálidos y llamativos.
G: Verde
El verde es un color clave en RGB, ya que equilibra la calidez del rojo y la frialdad del azul. Es ideal para crear efectos relajantes o naturales.
B: Azul
El azul aporta profundidad y frescura. En combinación con los otros dos colores, permite crear desde tonos pastel hasta colores vibrantes y modernos.
Espectro visible
El espectro visible de la luz es la porción del espectro electromagnético que el ojo humano puede percibir, abarcando longitudes de onda entre aproximadamente 380 y 700 nanómetros (nm). Este rango se descompone en los diferentes colores que vemos, desde el violeta (longitud de onda más corta) hasta el rojo (longitud de onda más larga). Fenómenos como la refracción, al pasar la luz por un prisma, permiten ver esta separación de colores.
Colores del espectro visible
El espectro visible se compone de los siguientes colores, ordenados de menor a mayor longitud de onda:
- Violeta: ~380–440 nm
- Azul: ~440–485 nm
- Cian: ~485–500 nm
- Verde: ~500–565 nm
- Amarillo: ~565–590 nm
- Naranja: ~590–625 nm
- Rojo: ~625–740 nm

Características clave
Longitud de onda: El espectro visible va desde las longitudes de onda más cortas del violeta hasta las más largas del rojo.

video sobre la luz y los colores
Colores: Las diferentes longitudes de onda dentro de este rango son percibidas por el ojo humano como colores distintos (violeta, azul, verde, amarillo, naranja, rojo).
Radiación electromagnética: La luz visible es una forma de radiación electromagnética, ubicada entre el ultravioleta y el infrarrojo.
Percepción humana: Es la parte del espectro que nuestros ojos son capaces de detectar.

Materiales de dispersión.
dispersión en medios materiales, estamos analizando cómo la luz interactúa con los diferentes tipos de materiales y cómo estas interacciones dependen de las características del material, especialmente de su índice de refracción, que varía con la longitud de onda de la luz. En otras palabras, la dispersión en un medio material ocurre porque las diferentes longitudes de onda de la luz (es decir, los colores) se propagan a diferentes velocidades cuando atraviesan ese material. Esto quiere decir que la dispersión de la luz en medios materiales ocurre porque el índice de refracción de un material no es constante para todas las longitudes de onda, sino que depende de la frecuencia de la luz.
Tipos de medios materiales en los que ocurre la dispersión:
Son materiales que permiten que la luz los atraviese casi sin absorber, como el vidrio, el agua o el aire. La dispersión en estos medios ocurre debido a la diferencia en la velocidad de propagación de las diferentes longitudes de onda.
Medios transparentes con índice de refracción variable
Cuando la luz atraviesa, parte de ella se refracta; el índice de refracción varía con la longitud de onda, lo que causa que los diferentes colores se doblen en distintos ángulos. Como ejemplos tenemos: Prismas de vidrio, gotitas de agua (arcoíris), lentes de dispersión.
Vidrio: El vidrio es uno de los materiales más comunes para observar la dispersión. El índice de refracción del vidrio depende de la longitud de onda de la luz, por lo que los colores de la luz blanca (como el rojo, el azul, el verde, etc.) se refractan en diferentes ángulos cuando pasan a través de un prisma de vidrio. Esto causa la separación de la luz blanca en un espectro.
Partículas en suspensión o medios gaseosos:Dispersión Rayleigh o Mie: las partículas pequeñas dispersan la luz, especialmente los colores de longitud de onda corta (azul), lo que produce efectos como el cielo azul, o humo difuso. Como ejemplos tenemos: Atmósfera, niebla, polvo, humo, aerosoles.
Aire: Aunque el aire tiene un índice de refracción muy cercano al de vacío, es más bajo que en otros materiales como el vidrio o el agua. Sin embargo, el aire aún tiene una pequeña dispersión. Por ejemplo, el cielo se ve azul debido a la dispersión de Rayleigh, un fenómeno en el cual la luz azul se dispersa más que otros colores debido a su corta longitud de onda.
Medios translúcidos:Dispersión fuerte, donde luz difundida en múltiples direcciones, no se ve claramente atravesando, pero se ve brillo difuso o halo de colores.Como ejemplos tenemos: Vidrios esmerilados, plástico translúcido, papel encerado, filtros difusores.
Superficies microestructuradas o redes de difracción: Si la superficie tiene ranuras o irregularidades con espaciado comparable a las longitudes de onda de la luz, se produce difracción e interferencia, separando colores. Como ejemplo tenemos: CD/DVD (ranuras de pistas), rejillas de difracción, superficies metálicas pulidas con grabados, huecos / rendijas estrechas.
Ejemplo de dispersión de la luz con un CD/DVD (red de difracción):

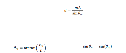
Fórmula del ángulo de difracción Seno del ángulo.
xm= distancia desde el máximo central hasta el máximo.
L= distancia desde la rendija (o CD) hasta la pantalla.
m = orden del máximo (1, 2, 3, …).
λ= longitud de onda de la luz usada
θm = ángulo de difracción.
d = separación entre ranuras del CD/DVD.
Método científico
observación
Al iluminar un CD o DVD con luz blanca, se evidencia que se forman unas formas peculiares con colores del arcoiris en su superficie.

Planteamiento del problema
Con esta observación podemos llegar a la siguiente pregunta problema que es ¿Por qué sucede esto? ¿Por qué aparecen estos colores sobre la superficie del disco?

Hipótesis
En base a lo investigado, podemos ver que el disco tiene micro ranuras que actúan como una red de difracción, haciendo que la luz blanca se separe en varios colores, formando el espectro.
Materiales
- 1 CD o DVD
- Fuente de luz blanca (linterna, lámpara, sol)
- Cartón o papel negro para mejorar contraste (opcional)
- Cinta adhesiva para manipular el CD/DVD (opcional)

Procedimiento
Colocamos la fuente de luz apuntando al CD, este mismo tiene que estar inclinado para que la luz incida en la superficie, ahí podemos observar como se generan diferentes colores.

Resultado
La estructura del CD hace la función de rejilla de difracción, esto hace que se cause la dispersión de la luz blanca en un espectro de colores, mostrando asi que la luz blanca la componen muchos colores.

Método científico infografía
para mas ver el la diapositiva sobre el método científica clic aquí.
Video sobre dispersión del espectro
Diapositivas sobre el tema de dispersión del espectro
Para ver las diapositiva Ingrese aquí .
Créditos
Autores: Andres Camilo Grimaldo Beltran, Juan Manuel Bolivar Mojica, Didier Ibargúen Mosquera & Juan Felipe Ramírez Sánchez
Código: CG-2025S2
Universidad: Universidad Central
Referencias
Diez, B. (2025). ¿Qué significa RGB? Todo lo que necesitas saber sobre esta tecnología en iluminación LED. B·LED - Blog. https://www.barcelonaled.com/blog/informacion-led/que-significa-rgb-todo-lo-que-necesitas-saber-sobre-esta-tecnologia-en-iluminacion-led/?srsltid=AfmBOooF7SYkp4yh7ZDv2fejfUno6Z52Ms-lblGfsazryCpd8jpYiKNT
De Luca, R. et al. (2018). A compact disc under skimming light rays. American Journal of Physics, 86(3). Explica cómo una línea de color clara aparece bajo ciertas condiciones de iluminación y ángulo con CDs/DVDs. https://physlab.org/wp-content/uploads/2018/09/luca2018.pdf
Fernández, J. L. (s. f.). Dispersión de la luz. Fisicalab.https://www.fisicalab.com/apartado/dispersion-luz
Pineda, A. L. (2024). El fenómeno de la dispersión de la luz. Universidad Pedagógica Nacional. http://repository.pedagogica.edu.co/bitstream/handle/20.500.12209/20073/El%20fenomeno%20de%20la%20dispersion%20de%20la%20luz.pdf?sequence=4&isAllowed=y
https://www.electronicayciencia.com/2010/07/difraccion-en-un-dvd.html
Suárez Duarte, A. R. (2024). La actividad experimental en el estudio de la dispersión de la luz. Universidad Pedagógica Nacional. http://repository.pedagogica.edu.co/bitstream/handle/20.500.12209/20390/La%20actividad%20experimental%20en%20el%20estudio%20de%20la%20dispersi%C3%B3n%20de%20la%20luz.pdf?sequence=1&isAllowed=y
